Phương án quy đổi điểm chuẩn tương đương của Đại học Bách khoa Hà Nội
Đại học Bách khoa Hà Nội áp dụng phương pháp bách phân vị để tìm ra các mức điểm chuẩn tương đương giữa các phương thức tuyển sinh.
Sáng 22/5, Đại học Bách khoa Hà Nội công bố phương án quy đổi điểm chuẩn tương đương giữa các phương thức tuyển sinh đại học chính quy năm 2025.
Căn cứ theo hướng dẫn chung của Bộ Giáo dục và Đào tạo, Đại học Bách khoa Hà Nội áp dụng phương pháp bách phân vị để tìm ra các mức điểm chuẩn tương đương giữa 3 phương thức tuyển sinh của Đại học bao gồm: Xét tuyển tài năng (XTTN), xét tuyển theo điểm thi Đánh giá tư duy (ĐGTD) và xét tuyển theo điểm thi tốt nghiệp trung học phổ thông (THPT).

Bên cạnh đó, Đại học Bách khoa Hà Nội tiến hành thống kê, phân tích dữ liệu tuyển sinh của 3 năm trở lại đây, các tổ hợp xét tuyển khác nhau, phân tích phổ điểm XTTN theo các diện, phổ điểm bài thi ĐGTD, phổ điểm thi tốt nghiệp THPT với tổ hợp gốc là A00 (Toán-Lý-Hóa) để làm căn cứ xác định khoảng phân vị tương quan.
Trên cơ sở đó, tổ chuyên gia đã xây dựng bảng phân vị tương quan giữa các phương thức tuyển sinh đại học của Đại học Bách khoa Hà Nội.
Theo đó, top % điểm thi tốt nghiệp THPT được tính trên tổng điểm của tổ hợp xét tuyển gốc là A00 đối với các thí sinh có điểm từ mức điểm sàn đến mức cao nhất (30 điểm); top % điểm XTTN 1.2 và 1.3 được tính trên tổng số thí sinh có điểm theo phương thức XTTN từ mức điểm sàn đến mức cao nhất (100 điểm); top % điểm ĐGTD được tính trên tổng số thí sinh có điểm TSA từ mức điểm sàn đến mức cao nhất (100 điểm).
Mức điểm sàn do Đại học Bách khoa Hà Nội công bố hàng năm.

Đại học Bách khoa Hà Nội cho biết, các giá trị khoảng phân vị cụ thể của bảng trên sẽ được tính toán dựa theo điểm XTTN, điểm thi TSA, điểm thi tốt nghiệp THPT năm 2025 và kết quả học tập của sinh viên trúng tuyển theo các phương thức tuyển sinh tương ứng. Đối với các tổ hợp điểm thi tốt nghiệp THPT khác ngoài tổ hợp gốc A00 trên cũng sẽ được Đại học Bách khoa Hà Nội tính toán dựa theo các mức điểm chênh tương ứng do Bộ Giáo dục và Đào tạo công bố cùng điểm thi tốt nghiệp THPT.
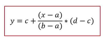
Từ bảng phân vị tương quan với các giá trị khoảng điểm phân vị cụ thể sẽ thực hiện nội suy hàm quy đổi mức điểm chuẩn giữa các phương thức tuyển sinh khác nhau. Theo đó, từ mức điểm chuẩn thuộc khoảng phân vị của phương thức tuyển sinh này sẽ được nội suy tương đương sang mức điểm chuẩn thuộc khoảng phân vị tương ứng với phương thức tuyển sinh khác theo công thức như sau:

Đại học Bách khoa Hà Nội xây dựng Bảng phân vị tương quan mức điểm chuẩn giữa các phương thức tuyển sinh năm 2024 dựa trên các dữ liệu tuyển sinh năm 2024 và kết quả học tập của sinh viên,
Bảng phân vị tương quan mức điểm chuẩn giữa các phương thức tuyển sinh của Đại học Bách khoa Hà Nội được xác định cụ thể như sau:

Các bậc phụ huynh và thí sinh có thể tra cứu thêm về các mức quy đổi điểm chuẩn tương đương cho dữ liệu tuyển sinh năm 2024 của Đại học Bách khoa Hà Nội tại đây để tham khảo: https://tsbkhn.shinyapps.io/QuyDoi-2024BK