Đề Toán dài, nhưng độ phân hóa tốt
Sáng 7/6 thí sinh thi vào lớp 10 THPT tại TP HCM đã hoàn thành đề thi môn Toán. Đây cũng là bài thi cuối cùng của kỳ thi tuyển sinh vào lớp 10 tại TP.HCM năm nay. Đề Toán gồm 8 câu hỏi trong 120 phút. Kết thúc môn thi này, các giáo viên của Tổ Toán - Hệ thống giáo dục HOCMAI đã có nhận định và lời giải như sau.
Nhận định chung: Đề thi tuyển sinh vào lớp 10 môn Toán của Sở GDĐT TP HCM năm học 2023-2024 giữ được tính ổn định về cấu trúc so với năm 2022-2023 đồng thời tăng nhẹ độ khó trong các yêu cầu về kiến thức và kĩ năng.
Đề thi gồm 8 bài toán lớn, có tính ứng dụng thực tế cao, tiệm cận với xu hướng đánh giá năng lực. Mỗi bài gồm nhiều ý nhỏ với cấu trúc điểm ổn định và được sắp xếp theo thứ tự từ dễ đến khó.
Về phạm vi kiến thức và độ khó
So với đề thi năm 2022-2023, đề năm 2023-2024 có cấu trúc tương đồng và có sự gia tăng về độ khó. Nội dung đề thi nằm trong chương trình THCS và không chứa kiến thức tinh giản của Bộ giáo dục và Đào tạo. Hầu hết các câu hỏi trong đề thi đều là các dạng bài quen thuộc, tương tự các đề thi của những năm gần đây. Riêng bài số 7 là bài tập đánh giá khả năng đọc hiểu, lập luận và tư duy logic của thí sinh và đây là xu hướng tất yếu nhằm đánh giá năng lực của học sinh. Nhận định cụ thể về từng câu hỏi trong đề như sau:
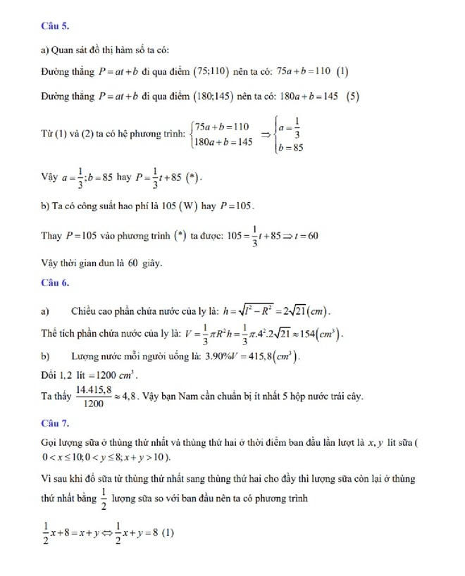
•Bài 1,2: có dạng thức quen thuộc, ở mức cơ bản, thí sinh có thể hoàn thành tốt. Bài số 2 liên quan đến ứng dụng của định lí Vi-et đã tăng về độ khó so với năm 2022-2023, đòi hỏi thí sinh cần thực hiện các biến đổi để áp dụng định lí.
•Bài 3: là dạng bài cho biểu thức biểu diễn mối quan hệ giữa các đại lượng, có yếu tố thực tiễn (mối liên hệ giữa chiều cao, cân nặng và giới tính). Thí sinh cần đọc hiểu các dữ kiện trong đề bài để tìm được hướng làm bài. Dạng toán đề bài cho sẵn công cụ và công thức tính, thí sinh chỉ cần hiểu và áp dụng công thức để giải toán mà không cần phải ghi nhớ. Đây là một xu hướng ra đề hiện đại giảm bớt sự ghi nhớ về mặt công thức mà coi trọng kiểm tra tính tư duy và kĩ năng đọc hiểu. Và độ khó của câu hỏi này tương tự như năm 2020 – giai đoạn trước dịch Covid. Câu hỏi cũng không yêu cầu quá nhiều về kĩ năng đọc hiểu và phân tích đề bài.
•Bài 4: là câu hỏi có tính thực tế, thí sinh chỉ cần đọc kĩ và phân tích các dữ kiện của đề bài là có thể hoàn thành. Ngoài ra, từ các dữ kiện đã cho của đề bài thí sinh cần lập luận chặt chẽ để rút ra được phép tính đúng, từ đó rút ra kết luận của bài toán.
•Bài 5: Đây là dạng bài thực tế có liên quan đến hàm số bậc nhất (tương tự bài 5 của đề thi năm 2022). Các dữ kiện đề bài đưa ra rất cụ thể và tường minh, vì vậy các thí sinh chỉ cần nắm vững kiến thức về hàm số bậc nhất là dễ dàng tìm ra được kết quả của bài toán.
•Bài 6: là bài toán về hình học không gian. Trong ý a, đề bài đã cho sẵn các công thức và thí sinh chỉ cần áp dụng đúng công thức là tìm ra kết quả. Tuy nhiên, ý b đòi hỏi học sinh cần đọc kĩ các dữ kiện, xác định chính xác các thông số và công thức cần áp dụng để tìm ra kết quả của bài toán.
•Bài 7: Đây là bài toán nhằm đánh giá khả năng đọc hiểu và tư duy logic của thí sinh. Tuy đây là một dạng bài không mới (giải bài toán bằng cách lập hệ phương trình) với học sinh nhưng để giải quyết được bài toán này, đòi hỏi thí sinh phải có tư duy rõ ràng, mạch lạc và khả năng phân tích, lập luận tốt.
•Bài 8: Đây là dạng bài quen thuộc liên quan đến tứ giác nội tiếp, các bài toán chứng minh vuông góc và thẳng hàng.
Kết luận: Nhìn chung, cấu trúc đề thi năm 2023-2024 hướng đến đánh giá năng lực toàn diện của người học và có tính thời sự. Đề bài dài nhưng khá hợp lý. Đề thi đảm bảo về cấu trúc và độ khó của câu hỏi, phù hợp với thực tế học tập của học sinh và có độ phân hóa tốt.
Cụ thể đáp án như sau:





