Đại học Bách khoa Hà Nội dự báo điểm trúng tuyển 2025, cao nhất trên 27,8 điểm
Sáng 18/7, Đại học Bách khoa Hà Nội công bố bảng quy đổi điểm chuẩn và dự báo mức điểm trúng tuyển vào các ngành của Đại học Bách khoa Hà Nội năm 2025. Hai ngành Công nghệ máy tính và Khoa học dự liệu và trí tuệ nhân tạo dự kiến mức điểm chuẩn cao nhất là 27,8+.
Căn cứ theo hướng dẫn chung của Bộ Giáo dục và Đào tạo (GDĐT), Đại học Bách khoa Hà Nội áp dụng phương pháp bách phân vị để tìm ra các mức điểm chuẩn tương đương giữa 3 phương thức tuyển sinh của Đại học bao gồm: Xét tuyển tài năng (XTTN), xét tuyển theo điểm thi Đánh giá tư duy (ĐGTD) và xét tuyển theo điểm thi tốt nghiệp trung học phổ thông (THPT).
Bên cạnh đó, Đại học Bách khoa Hà Nội tiến hành thống kê, phân tích dữ liệu tuyển sinh của 3 năm trở lại đây, các tổ hợp xét tuyển khác nhau, phân tích phổ điểm XTTN theo các diện, phổ điểm bài thi TSA, phổ điểm thi tốt nghiệp THPT năm 2025 với 2 tổ hợp gốc là A00 (Toán-Lý-Hóa) và D01 (Toán-Văn-Anh) để làm căn cứ xác định khoảng phân vị tương quan.
Bảng phân vị tương quan giữa các phương thức tuyển sinh của Đại học Bách khoa Hà Nội được xác định thông qua phương pháp Bách phân vị trên tập dữ liệu của các thí sinh có cả 2 điểm thi TSA và điểm thi THPT theo tổ hợp A00; tập dữ liệu của các thí sinh có cả 2 điểm thi TSA và điểm thi THPT theo tổ hợp D01; top% điểm XTTN diện 1.2 (xét tuyển dựa trên các chứng chỉ quốc tế) và diện 1.3 (xét tuyển dựa theo hồ sơ năng lực kết hợp phỏng vấn) được tính trên tổng số thí sinh có điểm theo phương thức XTTN từ mức điểm sàn đến mức cao nhất; top% điểm ĐGTD được tính trên tổng số thí sinh có điểm TSA từ mức điểm sàn đến mức cao nhất.
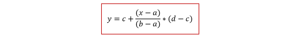
Từ Bảng phân vị tương quan với các giá trị khoảng điểm phân vị cụ thể sẽ thực hiện nội suy hàm quy đổi mức điểm chuẩn giữa các phương thức tuyển sinh khác nhau. Theo đó, từ mức điểm chuẩn thuộc khoảng phân vị của phương thức tuyển sinh này sẽ được nội suy tương đương sang mức điểm chuẩn thuộc khoảng phân vị tương ứng với phương thức tuyển sinh khác theo công thức như sau:

Bảng quy đổi điểm chuẩn tương đương cho dữ liệu năm 2025
Từ dữ liệu điểm của các phương thức đã công bố, Bảng phân vị tương quan mức điểm chuẩn giữa các phương thức tuyển sinh năm 2025 của Đại học Bách khoa Hà Nội được xác định cụ thể theo 2 tổ hợp gốc là A00 và D01 như sau:
Bảng 1. Bảng phân vị tương quan mức điểm chuẩn giữa các phương thức có tổ hợp gốc A00

Bảng 2. Bảng phân vị tương quan mức điểm chuẩn giữa các phương thức có tổ hợp gốc D01

Minh họa cách tính quy đổi điểm chuẩn tương đương như sau:
Ví dụ điểm chuẩn (điểm trúng tuyển) của ngành/chương trình MS2-Kỹ thuật vi điện tử và Công nghệ nano của Đại học Bách khoa Hà Nội theo phương thức dùng điểm thi tốt nghiệp THPT theo tổ hợp A00 là 27,68 điểm (x = 27.68).
Như vậy mức điểm chuẩn này sẽ thuộc khoảng phân vị 3 (Khoảng 3) tại Bảng 1, có giá trị điểm THPT từ [27.55 - 28.46). Khi đó điểm chuẩn tương đương đối với điểm thi ĐGTD sẽ thuộc khoảng phân vị tương ứng (Khoảng 3) tại Bảng 1 có giá trị điểm ĐGTD từ [69.88 - 76.23). Từ đó xác định các hệ số quy đổi tương ứng sẽ là:
a = 27.55; b = 28.46; c = 69.88; d = 76.23
Áp dụng công thức nội suy tính điểm chuẩn tương đương đối với điểm thi ĐGTD y từ điểm chuẩn THPT theo tổ hợp A00 x = 27.68 sẽ được tính như sau:

Phụ huynh và thí sinh có thể tra cứu thêm về các mức quy đổi điểm chuẩn tương đương cho năm 2025 của Đại học Bách khoa Hà Nội tại https://tsbkhn.shinyapps.io/QuyDoi-2025BK
Dự báo mức điểm trúng tuyển vào 65 chương trình đào tạo năm 2025
Căn cứ theo các loại phổ điểm và dữ liệu tuyển sinh các năm trước đây, Đại học Bách khoa Hà Nội dự báo mức điểm trúng tuyển vào các chương trình đạo tạo đại học chính quy năm 2025 như sau:


Đại học Bách khoa Hà Nội lưu ý, từ ngày 16/7 đến 17h ngày 28/7, thí sinh có nguyện vọng đăng ký xét tuyển đại học năm 2025 đều phải đăng ký nguyện vọng xét tuyển trên Hệ thống lọc ảo chung của Bộ GD&ĐT tại địa chỉ: https://thisinh.thitotnghiepthpt.edu.vn.
Thí sinh có thể tham khảo mức dự báo điểm trúng tuyển trên để đăng ký nguyện vọng xét tuyển vào các ngành học yêu thích của Đại học Bách khoa Hà Nội.